松屋オンラインストア

  • 新規会員登録
  • ログアウト
  • ご利用ガイド
  • お問い合わせ
  • 0
  • ポイント残高

挨拶状の作成 挨拶状の作成

  • ・挨拶状は商品選択後、商品設定画面よりご注文いただきます。
    「文面」仏式/仏式(戒名なし)/神式/キリスト教式/宗教無しからお選びください。
    「用紙」奉書・カード・二つ折りカードからお選びください。(封筒付)各1枚110円(税込)
  • ・ご注文のカタログギフト1件につき1枚の挨拶状が同封されます。(枚数の選択は出来ません)
  • ・挨拶状は「筆の達人 ネットナビ」サイトにて作成します。
  • ・お届け日その他ご要望は、ご注文の際の備考欄にご記入ください。

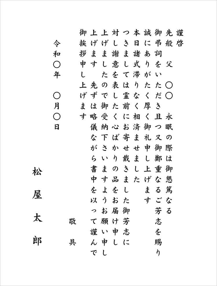
挨拶状について

挨拶状の種類

仏式・仏式(戒名なし)、神式、キリスト教式、宗教無しからお選びください。

ご注文のカタログギフト1点につき1枚のご挨拶状が同封されます。各1枚110円(税込)
※枚数の選択は出来ません

  • 仏式

  • 仏式(戒名なし)

  • 神式

  • キリスト教式

  • 宗教無し

挨拶状の用紙

奉書、カード、二つ折りカードからお選びください。

奉書

奉書
  • カード

    カード
  • 二つ折りカード

    二つ折りカード
  • 奉書封筒

    封筒の表は「御挨拶」、封筒の裏は「喪主名」「住所」」が印刷されます。

  • カード封筒

挨拶状作成の流れ

STEP1:
カタログギフト商品を選択(複数の商品を選択の場合も先にお選びください)

商品を全て選択後、「カートに進みご注文手続きへ」を選択し、ご依頼主とお届け先を設定してください。

STEP2:
商品選択画面にて商品を選択し数量を入力。挨拶状を「希望する」を選択

文面と用紙を選択し、「挨拶状を設定する」をクリックしてください。

STEP2
STEP3:
遷移した「筆の達人 ネットナビ」サイトにて、必要事項を入力

「続柄」「故人俗名」「戒名」「法要」「年/月/日」「喪主名」「封筒裏住所」をご入力し、次へをクリックしてください。

STEP3
STEP4:
挨拶状のプレビューを確認

プレビュー確認後「確定する」をクリックしてください。
修正される場合は、「前へ」をクリックしてください。

STEP4
STEP5:
配送設定画面の備考欄にその他ご要望を入力
STEP5
STEP6:
ご注文内容確認画面にてご注文内容、金額を確認し、ご注文を確定する